Abstracts
Vol. 2 No. s1 (2025): 48th National Conference of the Italian Association for the Study of Pain
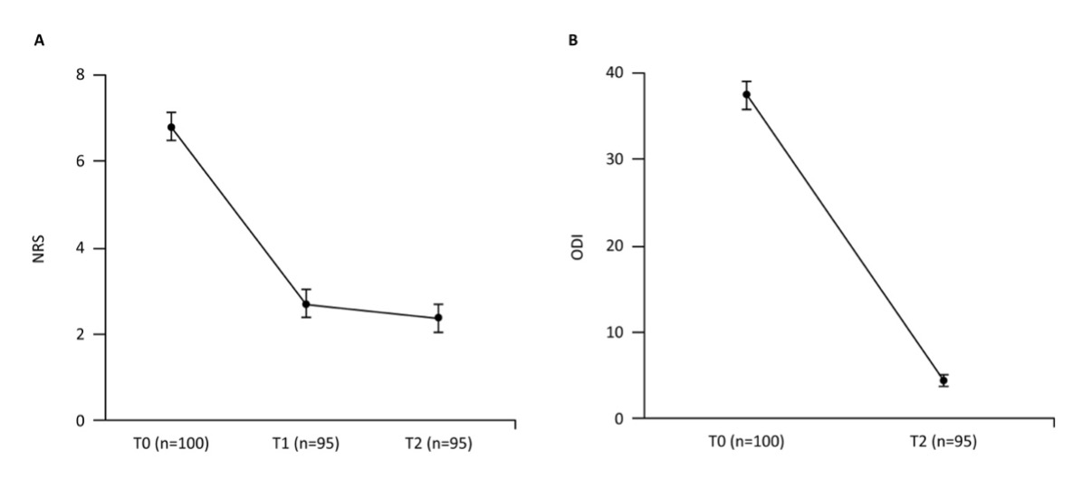
EFFICACY AND SAFETY OF A FIXED-DOSE COMBINATION OF TRAMADOL/PARACETAMOL 75 MG/650 MG IN REDUCING PAIN INTENSITY IN PATIENTS WITH LOW BACK PAIN: A REAL-WORLD RETROSPECTIVE STUDY
D. Scaturro1, P. Terrana2, S. Peri2, N. Palombi3, R. Piazza3, M. Mangrella3, G. Letizia Mauro1 | 1Department of Precision Medicine in the Medical, Surgical and Critical Care Area, University of Palermo; 2Functional Recovery and Rehabilitation, Hospital “St. Cimino” of Termini Imerese; 3Italfarmaco SpA, Medical Affairs Department, Milan
Publisher's note
All claims expressed in this article are solely those of the authors and do not necessarily represent those of their affiliated organizations, or those of the publisher, the editors and the reviewers. Any product that may be evaluated in this article or claim that may be made by its manufacturer is not guaranteed or endorsed by the publisher.
All claims expressed in this article are solely those of the authors and do not necessarily represent those of their affiliated organizations, or those of the publisher, the editors and the reviewers. Any product that may be evaluated in this article or claim that may be made by its manufacturer is not guaranteed or endorsed by the publisher.
Published: 22 September 2025
98
Views
0
Downloads

